Двигатели Zetec - история, тунинг и полезна информация.
- cossy
- потребител

- Мнения: 4564
- Регистриран: 22 яну 2005, 22:20
- Модел на автомобила: Ескорт 1.6 -> 2.0 16V
- Status: Извън линия
Двигатели Zetec - история, тунинг и полезна информация.
Съществуват два вида двигатели зетек, "Zetec" и "Zetec E". Двата вида мотори са идентични - 4 цилиндъра, 2 разпределителни вала, 16 клапана. Разликата при тях е в системата за отработени газове, съответно токсичността им. Реда на работа на цилиндрите е 1-3-4-2
Koдове:
Zetec
1.6 L1E; 1597куб.см 90 коня
1.8 RDA, RQB; 1796куб.см 105 коня
Zetec E
1.6 L1H, L1K; 1597куб.см 90 коня
1.8 RKC; 1796куб.см 105 коня
Данните са за Ескорт
П.П. Ако някой има данни и за Мондео, нека да допълни. Не съм сигурен за периода през които се слагат двата вида двигатели и тук ще помоля за помощ
Koдове:
Zetec
1.6 L1E; 1597куб.см 90 коня
1.8 RDA, RQB; 1796куб.см 105 коня
Zetec E
1.6 L1H, L1K; 1597куб.см 90 коня
1.8 RKC; 1796куб.см 105 коня
Данните са за Ескорт
П.П. Ако някой има данни и за Мондео, нека да допълни. Не съм сигурен за периода през които се слагат двата вида двигатели и тук ще помоля за помощ
Последна промяна от cossy на 05 фев 2006, 20:22, променено общо 1 път.

- BuLLDoZeR
- потребител

- Мнения: 258
- Регистриран: 21 ное 2005, 16:47
- Модел на автомобила: Escort 1.4i PTE `95 Mk7
- Местоположение: София/В.Т
- Status: Извън линия
Не знам нищичко за него 
Иначе ето за Мондео техническа информация
http://mondeoclub.ru/xarakteristika/fm1_2.htm" onclick="window.open(this.href);return false;
Иначе ето за Мондео техническа информация
http://mondeoclub.ru/xarakteristika/fm1_2.htm" onclick="window.open(this.href);return false;
Veni, vidi, vici
- cossy
- потребител

- Мнения: 4564
- Регистриран: 22 яну 2005, 22:20
- Модел на автомобила: Ескорт 1.6 -> 2.0 16V
- Status: Извън линия
Според сайта:
Зетек 2.0
NGA, NGB;
1998куб.см 136 кс/5700 об. 100кВт
176/3700 нм/оборота
130 /5700* 96кВт
Зетек 1.8
RKA,RKB,RKF,RKJ;
1796куб.см 115 кс/5750 об. 85кВт
158/3750 нм/об
112 кс/5750* 83кВт
Зетек 1.6
L1F, L1J, L1L;
1597куб.см. 90кс/5250 об. 66кВт
138/3500 нм/об
*-за двигатели след 05, 1998г.
Данните са за Мондео
Зетек 2.0
NGA, NGB;
1998куб.см 136 кс/5700 об. 100кВт
176/3700 нм/оборота
130 /5700* 96кВт
Зетек 1.8
RKA,RKB,RKF,RKJ;
1796куб.см 115 кс/5750 об. 85кВт
158/3750 нм/об
112 кс/5750* 83кВт
Зетек 1.6
L1F, L1J, L1L;
1597куб.см. 90кс/5250 об. 66кВт
138/3500 нм/об
*-за двигатели след 05, 1998г.
Данните са за Мондео

-
Mondeo18TDI96
- потребител

- Мнения: 554
- Регистриран: 06 дек 2004, 11:51
- Модел на автомобила: Mondeo 1.8TD (1996 ... в пенсия) & C4 1.6HDi(2009) & Avensis 2.0 D-4D (2010)
- Status: Извън линия
- disc
- потребител

- Мнения: 594
- Регистриран: 07 мар 2005, 22:43
- Модел на автомобила: Orion 1.8 16V Turbo, Fiesta 2.0 16V, Focus 2.0 16V
- Местоположение: Пловдив
- Контакти:
- Status: Извън линия
Ford CVH двигателите са вграждани в автомобилите повече от 20 години в почти целият моделен ред на Форд. За това време тунинг ентусиастите са достигали пределните им граници, "изкарвайки" все повече и повече мощност с помощта на хибридни турбокомпресори, цилиндрови глави с големи клапани и спортни валове. Години наред колите със CVH двигатели са предпочитани като "most tuneable" във "hot hatch" класа.
След свалянето от конвейра на Escort и Fiesta RS Turbo в началото на 90-те и CVH двигателите са спрени от производство, изглежда "златната ера" за любителите на високите скорости е към края си. Вече остарелият CVH "чичко" отстъпва място на новият тих, технически модерен, натурално аспириран, 16 клапанов двигател на Ford - Zetec. Разработени с цел мощност, тези двигатели привидно предлагат много малъг тунинг потенциал и новият RS (Rally Sport) клас е пренебрегнат като отегчителен и с нищо невдъхновяващ. Но малко хора знаят за реалният потенциал на тези двигатели ...


Zetec двигателя е 16-клапанов, двувалов, четири-цилиндров, редови тип, монтиран напречно, със скоростната кутия от дясната му страна. С изключение на пластмасовите капаци на ангренажният ремък и блока, всички останали важни компоненти са направени от алуминий. Коляновият вал лагерува в пет основни лагера, като горните половини на средните три лагера имат шайби за да се контролира аксиалният луфт на коляновият вал. Мотовилките лагеруват на коляновият вал на хоризонтално разполовяващи се черупкови лагери. Буталата са свързани с мотовилките посредством бутални болтове, който са набити в буталата. Алуминиевите бутала са с три сегмента: два компресионни и един маслен. След отливането на блока цилиндрите и буталата се оразмеряват и класифицират в три класа, които трябва да бъдат строго спазвани, за да се осигури нужната хлабина между буталата и цилиндрите; бутала с по-голям диаметър не са предвидени, което не позволява прешлайфане на цилиндрите.
Вграждането на Zetec двигателите започва от 1992 г. и след няколко години вече се предлага в няколко модификации:
1.6 90HP - монтиран в Fiesta, Escorts, Mondeo.
1.8 105HP - монтиран в Fiesta XR2i 16v, Escort, Mondeo.
1.8 115HP - монтиран в Mondeo. Разликата в мощността се явява от различните разпределителни валове, по-голямата дроселова клапа и настройките на ECU-то.
1.8 130HP - монтиран в Fiesta RS1800, Escort XR3i. Разликата в мощността се явява от различните разпределителни валове, по-голямата дроселова клапа и настройките на ECU-то.
2.0 136HP - монтиран само в Mondeo.
Zetec е базиран на подсилен CVH блок, с някои ключови подобрения, като най-забележимото е 16 клапановата, двувалова цилиндрова глава. Подобренията на блока включват напълно балансиран колянов вал, маслена помпа с увеличен капацитет, а при 1.8 130 НР и 2.0 моделите - маслени разпръсвачи, осигуряващи охлаждане на буталата. Zetec двигателите са три поколения, без да броим най-новите малолитражни версии 1.25, 1.4, 1.6 и 1.7 произведени в сътрудничеството на Yamaha, Zetec-SE двигатели:
1992 Series 1 - лесно разпознаваеми по надписа "DOHC 16v" на капака на цилиндровата глава. Ранните Series 1 страдат от доста "детски болести" включително "залепващи клапани".
1995 Series 2 - надписа "Zetec 16v" заменя "DOHC 16v" на капака на цилиндровата глава. Минорни ревизии на двигателя за да се премахне проблема със "залепващите клапани". Подобрения има и във свещите, инжекторите, гарнитурите, както и някои козметични промени.
1998 Series 3 - съвременият вариант на Zetec, монтиран във Focus и Мondeo. Коренно различен от по-старите поколения Zetec, както на външен вид (черен пластмасов капак на цилиндровата глава), така и вътрешно. Разгледан от "главата до петите", Series 3 придобива нови инжектори - end fed (бензина се подава от края на инжектора) за разлика от side fed (бензина се подава странично на инжектора) инжекторите Series 1 и Series 2, както и "twin jet spray pattern"( формата под, която се разпръсква бензина от инжектора). Солидни повдигачи със регулировъчни пулове заменят хидравличните си предшественици. Обтягането на ангренажният ремък търпи промяна. Буталата са с тефлоново покритие за намаляне на триенето, а петите на коляновият вал са вече един цял детайл (предишните са с черупков лагер) за увеличване на здравината. Водната помпа е изнесена външно, и е с по-големи лопатки - за по-добра ефективност. Блока е подсилен - метала оставащ между цилиндрите е доста повече, дори сравняван само на око спрямо Series 1 и Series 2. Масленият филтър вече се монтира директно на блока (подобно на CVH двигателите), а картера е "въоръжен" с прегради за намаляне на "преливането" на маслото при остри завои. Оребряването на картера също е подобрено в стремежа за борба с усукването на блока.
Как да разбера обема и мощността на моят Zetec?
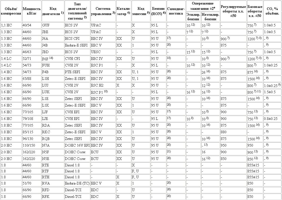
Двигателите имат релефен надпис на блока с обема (16, 18, 20) но мощността е отразена на лепенка на пластмасовата тръба към дроселовата клапа, която с времето или избелява или изчезва. Но на блока от страната на скоростната кутия има щампа на която е серииният номер и кода на двигателя, която може да ти каже с точност търсените параметри. Следва легенда за разкодиране на този код:
Escort/Orion/Fiesta
Първа буква:
L - 1.6
R - 1.8
N - 2.0
Втора буква:
I/1 - 66kW/90 НР (65kW/88 HP на някои модели)
D - 77kW/105 НР
K - 85kW/115 НР
Q - 96kW/130 НР
Mondeo
Първа буква:
L - 1.6
R - 1.8
N - 2.0
Втора буква:
I/1 - 66kW/90 HP (65kW/88 HP на някои модели)
K - 85kW/115 HP (82kW/112 HP на някои модели)
G - 100kW/136 HP
Третата буква за всички двигатели означава стандарта за вредни емисии в изгорелите газове.
Пример за декодиране:
Наскоро се сдобих с Zetec блок от Мондео. Кода му е RKA - 1.8L, 115НР. Имам и глава от Ескорт 1.8L . Когато двигателя бъде сглобен с тези блок и глава, мощността му ще бъде 105НР заради разпределителните валове и дроселовата клапа от Ескорта. Но ако поставя разпределителни валове от Мондео 1.8L - мощността вече ще е 115НР. Друг вариант е поставянето на разпределителни валове от Мондео 2.0L, дроселова клапа от Мондео 2.0L, ECU от Мондео 2.0L - тогава мощността ще е в диапазонана 125-130НР.
Типична мощностна характеристика на Zetec двигатели:




Следва продължение...
След свалянето от конвейра на Escort и Fiesta RS Turbo в началото на 90-те и CVH двигателите са спрени от производство, изглежда "златната ера" за любителите на високите скорости е към края си. Вече остарелият CVH "чичко" отстъпва място на новият тих, технически модерен, натурално аспириран, 16 клапанов двигател на Ford - Zetec. Разработени с цел мощност, тези двигатели привидно предлагат много малъг тунинг потенциал и новият RS (Rally Sport) клас е пренебрегнат като отегчителен и с нищо невдъхновяващ. Но малко хора знаят за реалният потенциал на тези двигатели ...


Zetec двигателя е 16-клапанов, двувалов, четири-цилиндров, редови тип, монтиран напречно, със скоростната кутия от дясната му страна. С изключение на пластмасовите капаци на ангренажният ремък и блока, всички останали важни компоненти са направени от алуминий. Коляновият вал лагерува в пет основни лагера, като горните половини на средните три лагера имат шайби за да се контролира аксиалният луфт на коляновият вал. Мотовилките лагеруват на коляновият вал на хоризонтално разполовяващи се черупкови лагери. Буталата са свързани с мотовилките посредством бутални болтове, който са набити в буталата. Алуминиевите бутала са с три сегмента: два компресионни и един маслен. След отливането на блока цилиндрите и буталата се оразмеряват и класифицират в три класа, които трябва да бъдат строго спазвани, за да се осигури нужната хлабина между буталата и цилиндрите; бутала с по-голям диаметър не са предвидени, което не позволява прешлайфане на цилиндрите.
Вграждането на Zetec двигателите започва от 1992 г. и след няколко години вече се предлага в няколко модификации:
1.6 90HP - монтиран в Fiesta, Escorts, Mondeo.
1.8 105HP - монтиран в Fiesta XR2i 16v, Escort, Mondeo.
1.8 115HP - монтиран в Mondeo. Разликата в мощността се явява от различните разпределителни валове, по-голямата дроселова клапа и настройките на ECU-то.
1.8 130HP - монтиран в Fiesta RS1800, Escort XR3i. Разликата в мощността се явява от различните разпределителни валове, по-голямата дроселова клапа и настройките на ECU-то.
2.0 136HP - монтиран само в Mondeo.
Zetec е базиран на подсилен CVH блок, с някои ключови подобрения, като най-забележимото е 16 клапановата, двувалова цилиндрова глава. Подобренията на блока включват напълно балансиран колянов вал, маслена помпа с увеличен капацитет, а при 1.8 130 НР и 2.0 моделите - маслени разпръсвачи, осигуряващи охлаждане на буталата. Zetec двигателите са три поколения, без да броим най-новите малолитражни версии 1.25, 1.4, 1.6 и 1.7 произведени в сътрудничеството на Yamaha, Zetec-SE двигатели:
1992 Series 1 - лесно разпознаваеми по надписа "DOHC 16v" на капака на цилиндровата глава. Ранните Series 1 страдат от доста "детски болести" включително "залепващи клапани".
1995 Series 2 - надписа "Zetec 16v" заменя "DOHC 16v" на капака на цилиндровата глава. Минорни ревизии на двигателя за да се премахне проблема със "залепващите клапани". Подобрения има и във свещите, инжекторите, гарнитурите, както и някои козметични промени.
1998 Series 3 - съвременият вариант на Zetec, монтиран във Focus и Мondeo. Коренно различен от по-старите поколения Zetec, както на външен вид (черен пластмасов капак на цилиндровата глава), така и вътрешно. Разгледан от "главата до петите", Series 3 придобива нови инжектори - end fed (бензина се подава от края на инжектора) за разлика от side fed (бензина се подава странично на инжектора) инжекторите Series 1 и Series 2, както и "twin jet spray pattern"( формата под, която се разпръсква бензина от инжектора). Солидни повдигачи със регулировъчни пулове заменят хидравличните си предшественици. Обтягането на ангренажният ремък търпи промяна. Буталата са с тефлоново покритие за намаляне на триенето, а петите на коляновият вал са вече един цял детайл (предишните са с черупков лагер) за увеличване на здравината. Водната помпа е изнесена външно, и е с по-големи лопатки - за по-добра ефективност. Блока е подсилен - метала оставащ между цилиндрите е доста повече, дори сравняван само на око спрямо Series 1 и Series 2. Масленият филтър вече се монтира директно на блока (подобно на CVH двигателите), а картера е "въоръжен" с прегради за намаляне на "преливането" на маслото при остри завои. Оребряването на картера също е подобрено в стремежа за борба с усукването на блока.
Как да разбера обема и мощността на моят Zetec?
Двигателите имат релефен надпис на блока с обема (16, 18, 20) но мощността е отразена на лепенка на пластмасовата тръба към дроселовата клапа, която с времето или избелява или изчезва. Но на блока от страната на скоростната кутия има щампа на която е серииният номер и кода на двигателя, която може да ти каже с точност търсените параметри. Следва легенда за разкодиране на този код:
Escort/Orion/Fiesta
Първа буква:
L - 1.6
R - 1.8
N - 2.0
Втора буква:
I/1 - 66kW/90 НР (65kW/88 HP на някои модели)
D - 77kW/105 НР
K - 85kW/115 НР
Q - 96kW/130 НР
Mondeo
Първа буква:
L - 1.6
R - 1.8
N - 2.0
Втора буква:
I/1 - 66kW/90 HP (65kW/88 HP на някои модели)
K - 85kW/115 HP (82kW/112 HP на някои модели)
G - 100kW/136 HP
Третата буква за всички двигатели означава стандарта за вредни емисии в изгорелите газове.
Пример за декодиране:
Наскоро се сдобих с Zetec блок от Мондео. Кода му е RKA - 1.8L, 115НР. Имам и глава от Ескорт 1.8L . Когато двигателя бъде сглобен с тези блок и глава, мощността му ще бъде 105НР заради разпределителните валове и дроселовата клапа от Ескорта. Но ако поставя разпределителни валове от Мондео 1.8L - мощността вече ще е 115НР. Друг вариант е поставянето на разпределителни валове от Мондео 2.0L, дроселова клапа от Мондео 2.0L, ECU от Мондео 2.0L - тогава мощността ще е в диапазонана 125-130НР.
Типична мощностна характеристика на Zetec двигатели:




Следва продължение...
Of all the things I've lost
I miss my mind the most
I miss my mind the most
- MegatroniC
- потребител

- Мнения: 717
- Регистриран: 29 апр 2006, 22:42
- Модел на автомобила: Fiesta MK IV Ghia 1,25i 16V Zetec-S
Honda Jazz II 1.3 iDSI - Местоположение: Бургас
- Контакти:
- Status: Извън линия
- cossy
- потребител

- Мнения: 4564
- Регистриран: 22 яну 2005, 22:20
- Модел на автомобила: Ескорт 1.6 -> 2.0 16V
- Status: Извън линия
Re: Двигатели Zetec - история, тунинг и полезна информация.
Още инфо:
Компанията Форд Мотор използва името Zetec на редица автомобилни двигатели с 4 цилиндъра. Той е измислен да замени "Zeta" от 1,6 л. до 2,0 л. многоклапанни двигатели въведени през 1991 година. Компанията използва името широко в Европа, а по-късно и на северноамериканския пазар с името Contour.
Името Zetec е така признато, че Форд решават да го прилагат към други високо технологичи четири цилиндрови двигатели. То се използва в много типове двигатели в Европа и днес, въпреки че оригиналните Zeta дизайн, приключват производство през 2004 година.
Произведените двигатели за Ф1 от Cosworth също са именувани като Zetec, въпреки че те са технологично независими. Този двигател (3.5 литра V8) е бил използван от отбора Benetton през 1994 г. и Михаел Шумахер спечелва първата си световна титла.
Първият двигател Зетек е от фамилията Зета, представен през 1992г. за петото поколение на Ескорт, третото на Орион и Фиеста. В началото са били достъпни само 1.6 и 1.8 литрови агрегати, а през 1993-та се появява и двулитровата версия в новото Мондео, което заменя по-стария модел на Сиерра. Името Зета е променено на Зетек след като Ланчия обявяват, че ще съдят Форд за името.
По-ранните версии на двигателя имат проблем с т.нар. "залепване на клапаните", което е най-забележимо в Англия поради студените климатични условия. След малко промени, през 1995-та се появява Zetec-E за да оправи тези проблеми. Този двигател получава пластмасови входящи колектори и ЕGR получен от Мондео. През 1998 претърпява редизайн и е наречен Zetec-R. Той има 2 части на блока (crankcase), което помага за намаляване на шума и вибрациите, конвенционални повдигачи (tappets) с (shims) който са по-добри от хидравличните повдигачи. Има и по-дълги мотовилки (connecting rods) с по-малка височина на буталото и по-висока компресия (and longer connecting rods with a lower piston compression height). Този двигател е използван във Focus RS, но с турбо и има 212к.с. Използван е и във версията ST. Taм главата е разработена от Cosworth и е с системата VVT (Variable Valve Timing) с променливи фази на всмукателните клапани на вала,(VVT allows the lift or duration or timing (some or all) of the intake or exhaust valves (or both) to be changed while the engine is in operation.) и има170 к.с.
A 2.0 L Crate Zetec has a shipping weight of 370 lb (168 kg).
Sigma - Zetec-SE e разработен съвместно Ямаха и Маздра, под името Сигма. Двигателите са с кубатура от 1.25 (1249сс) до 1.7 (1679сс). Той е доста разлиен от "Zeta" двигателите, даже входящата и изходящата ситема са на срещуположни места. Мазда използва името MZ, а Форд го продават още като ZSG. По-късно, объркващо той бива преименуван на Duratec и се слага в MK II на Европейския Фокус с двигатели 1.4 и 1.6. Също се използва подобрена версия на VVT a именно Тi-VCT (Twin Independent Variable Camshaft Timing). Първото име на Duratec e RoFlow Zetec базиран на двигателя МZR.
Компанията Форд Мотор използва името Zetec на редица автомобилни двигатели с 4 цилиндъра. Той е измислен да замени "Zeta" от 1,6 л. до 2,0 л. многоклапанни двигатели въведени през 1991 година. Компанията използва името широко в Европа, а по-късно и на северноамериканския пазар с името Contour.
Името Zetec е така признато, че Форд решават да го прилагат към други високо технологичи четири цилиндрови двигатели. То се използва в много типове двигатели в Европа и днес, въпреки че оригиналните Zeta дизайн, приключват производство през 2004 година.
Произведените двигатели за Ф1 от Cosworth също са именувани като Zetec, въпреки че те са технологично независими. Този двигател (3.5 литра V8) е бил използван от отбора Benetton през 1994 г. и Михаел Шумахер спечелва първата си световна титла.
Първият двигател Зетек е от фамилията Зета, представен през 1992г. за петото поколение на Ескорт, третото на Орион и Фиеста. В началото са били достъпни само 1.6 и 1.8 литрови агрегати, а през 1993-та се появява и двулитровата версия в новото Мондео, което заменя по-стария модел на Сиерра. Името Зета е променено на Зетек след като Ланчия обявяват, че ще съдят Форд за името.
По-ранните версии на двигателя имат проблем с т.нар. "залепване на клапаните", което е най-забележимо в Англия поради студените климатични условия. След малко промени, през 1995-та се появява Zetec-E за да оправи тези проблеми. Този двигател получава пластмасови входящи колектори и ЕGR получен от Мондео. През 1998 претърпява редизайн и е наречен Zetec-R. Той има 2 части на блока (crankcase), което помага за намаляване на шума и вибрациите, конвенционални повдигачи (tappets) с (shims) който са по-добри от хидравличните повдигачи. Има и по-дълги мотовилки (connecting rods) с по-малка височина на буталото и по-висока компресия (and longer connecting rods with a lower piston compression height). Този двигател е използван във Focus RS, но с турбо и има 212к.с. Използван е и във версията ST. Taм главата е разработена от Cosworth и е с системата VVT (Variable Valve Timing) с променливи фази на всмукателните клапани на вала,(VVT allows the lift or duration or timing (some or all) of the intake or exhaust valves (or both) to be changed while the engine is in operation.) и има170 к.с.
A 2.0 L Crate Zetec has a shipping weight of 370 lb (168 kg).
Sigma - Zetec-SE e разработен съвместно Ямаха и Маздра, под името Сигма. Двигателите са с кубатура от 1.25 (1249сс) до 1.7 (1679сс). Той е доста разлиен от "Zeta" двигателите, даже входящата и изходящата ситема са на срещуположни места. Мазда използва името MZ, а Форд го продават още като ZSG. По-късно, объркващо той бива преименуван на Duratec и се слага в MK II на Европейския Фокус с двигатели 1.4 и 1.6. Също се използва подобрена версия на VVT a именно Тi-VCT (Twin Independent Variable Camshaft Timing). Първото име на Duratec e RoFlow Zetec базиран на двигателя МZR.

-
gotiniat
- потребител

- Мнения: 79
- Регистриран: 30 юни 2009, 23:11
- Модел на автомобила: Ford Mondeo 1.6 16v 96g.
<a href="http://www.xpr0.com/bg/garage/40667/invite-friend"><img border=0 src="http://www.xpr0.com/banner/40667"></a> - Местоположение: гр.Пещера
- Status: Извън линия
Re: Двигатели Zetec - история, тунинг и полезна информация.
Колеги мен ме интересува моя двигател възможно ли е да го направя нещо защото колата ми е 2 тона и е само 90 коня и идва малко ташкън като се качим 4-5 човека.А колата ми е Мондео МК1 1.6 16v казвали са ми че тоя мотор няма възможност за турбиниране (макар че много ми се искаше да има) та мисълта ми е с колянови валове или нещо от сорта може ли да се качи някой кон?Мотора ще издържи ли ако го направя? И колко коня горе долу мога да изцедя от тоя муртвец
ПС. Просто питам мотора ми е след основен ремонт нямам намерение да го отварям още но все пак не се знае кво ще ми хрумне
Ако ме минат на още един два светофара от Старт може и да го отворя
Мерси предварително
ПС. Просто питам мотора ми е след основен ремонт нямам намерение да го отварям още но все пак не се знае кво ще ми хрумне
Мерси предварително
Който разбира,на FORD се спира!!! 
- Danchev
- потребител

- Мнения: 647
- Регистриран: 09 фев 2008, 02:47
- Модел на автомобила: 89' B-road sleeper
- Status: Извън линия
Re: Двигатели Zetec - история, тунинг и полезна информация.
Коляновите валове са много добра идея .....
Сега сериозно, намери си 2.0 мотор, МАФ и компютър от някое ударено монди и след това иди някой да ти ги сложи. С тия пари дето си ги дал за основният ремонт, големият мотор вече щеше да ти е коша. Почети малко из форума въпреки, че няма много информация, но пък малкото такава е сравнително качественна. След това можеш да пробваш да си зададеш въпроса отново .....
Сега сериозно, намери си 2.0 мотор, МАФ и компютър от някое ударено монди и след това иди някой да ти ги сложи. С тия пари дето си ги дал за основният ремонт, големият мотор вече щеше да ти е коша. Почети малко из форума въпреки, че няма много информация, но пък малкото такава е сравнително качественна. След това можеш да пробваш да си зададеш въпроса отново .....
Tuned and performed by

The people who once spent on the Mk3 have grown up and moved on, there's only a few nutters like us who still work on them

The people who once spent on the Mk3 have grown up and moved on, there's only a few nutters like us who still work on them
Кой е на линия
Потребители, разглеждащи този форум: Няма регистрирани потребители и 29 госта
